Belichtungsdreieck Infografik – Belichtung, Blende & ISO
Das Belichtungsdreieck beschreibt den Zusammenhang zwischen Blende, Verschlusszeit und ISO – alles wichtige Werte in der Fotografie. Sie sind für die richtige Belichtung verantwortlich, ein essentielles Kriterium für die Qualität deiner Fotos. In diesem Artikel lernst du, was diese Grössen bedeuten und wie sie miteinander zusammenhängen. Auch einige andere Begriffe aus der Fotografie wirst du hier kennenlernen. So wird zum Beispiel häufig von «Stops» gesprochen – aber was bedeutet das überhaupt? Dies und alles Andere rund ums Belichtungsdreieck findest du hier kurz erklärt.

Das Belichtungsdreieck als Infografik (@pixolum)
Inhaltsverzeichnis
Belichtungsdreieck Inforgrafik
Starten wir gleich mit dem Wichtigsten.Oben siehst du eine Belichtungsdreieck Infografik, welche die Zusammenhänge der wichtigsten Kameraeinstellungen erklärt. Wie du schon erkennen kannst, geht geht es am Schluss vorallem um die richtige Helligkeit des Bildes. Speichere diese Grafik auf Pinterest oder sonst irgendwo digital, damit du sie immer zu Hand hast. Nun aber weiter, wir wollen die Grafik ja auch verstehen!
Was ist das Belichtungsdreieck
Auf den drei Seiten des Belichtungsdreiecks findest du «Blende», «Verschlusszeit» und «ISO». Sind diese Werte gut aufeinander abgestimmt, produziert deine Kamera ein korrekt belichtetes Foto. Veränderst du einen der Werte, muss mindestens ein weiterer ebenfalls verändert werden. Ansonsten veränderst du die Belichtung des Fotos und es kommt möglicherweise zu Über- oder Unterbelichtung. Mehr zum Thema Belichtungsmessung findest du hier.

Stop!
Nun wollen wir gleich einmal klären, wovon hier die Rede ist. Von Stops, im Deutschen auch Belichtungsstufen genannt, spricht man häufig, wenn es um das Thema Belichtung geht. Um ein korrekt belichtetes Bild zu erhalten, brauchen wir eine genau definierte Menge an Licht, welches auf den Bildsensor fällt. Diese Menge können wir steuern, indem wir unsere Belichtungseinstellungen um eine gewisse Anzahl Belichtungsstufen (oder eben Stops) anpassen. Genauer gesagt, bedeutet eine Veränderung um einen Stop immer entweder eine Halbierung oder eine Verdopplung der Menge an Licht, das auf den Bildsensor fällt. Erhöhen wir also um eine Belichtungsstufe, wird das Bild heller. Das genaue Gegenteil passiert, wenn wir die Belichtung um eine Belichtungsstufe verringern.
Kennst du schon meine 52 weltbesten Spickzettel?
Im Belichtungsdreieck nehmen wir alle Veränderungen in Stops vor. Das praktische an diesem System ist nämlich gerade, dass es für verschiedene Einstellungsgrössen funktioniert. Doch wie können wir solche Einstellungen überhaupt vornehmen? Dafür müssen wir Anpassungen an den drei Werten des Belichtungsdreiecks vornehmen. Gleich erfährst du, wie Belichtungsveränderungen in Stops zustande kommen.
Die drei Seiten des Belichtungsdreiecks
Verschlusszeit
Die Verschlusszeit bestimmt, wie lange Licht auf den Bildsensor treffen kann und wird in Sekunden angegeben. Je länger die Verschlusszeit, desto mehr Licht trifft auf den Sensor. Sie ist eine der relativ einfach zu verstehenden Grössen im Belichtungsdreieck. Wenn wir hier die Menge an Licht verdoppeln wollen, müssen wir ganz einfach die Verschlusszeit verdoppeln.

Erhöhen wir die Verschlusszeit beispielsweise von ¼ s auf ½ s, verdoppeln wir also die Menge an Licht, das auf den Sensor treffen kann. Wie du dich bestimmt aus dem vorherigen Abschnitt erinnern kannst, bedeutet dies, dass wir die Belichtung um einen Stop erhöhen. Anderes Beispiel: Verringern wir die Verschlusszeit von 1 s auf 1/8 s, bedeutet das eine Veränderung um drei Stops. Warum? Von 1 s auf ½ s ist es ein Stop. Ein weiterer Stop liegt zwischen ½ s und ¼ s. Um auf 1/8 s zu kommen, halbieren wir noch einmal, verringern also noch ein weiteres Mal um einen Stop. Insgesamt sind es also drei Stops.
Blende
Als Blende bezeichnet man die Öffnung im Objektiv, durch welche Licht auf den Bildsensor gelangt. Die Menge an Licht, das auf den Sensor gelangt, ist hier von der Grösse dieser Öffnung abhängig. Wenn du die Grösse dieser Fläche verdoppelst, trifft auch doppelt soviel Licht auf den Sensor und die Belichtung wird um einen Stop erhöht. Wenn du die Fläche halbierst, passiert natürlich genau das Gegenteil. Solche Einstellungen kannst du vornehmen, indem du bei deiner Kamera die Blendenzahl veränderst.

Blendenzahl
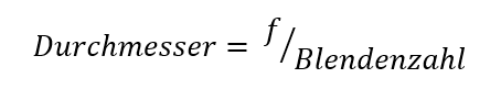
Die Blendenzahl (engl. auch «f-number») beschreibt das Verhältnis zwischen oben erwähnter Blendenöffnung und der Brennweite. Auch sie ist eine nützliche Grösse in der Fotografie und wir benötigen sie, um den Einfluss der Blende auf das Belichtungsdreieck zu verstehen. Leider ist ihre Anwendung etwas weniger intuitiv, als beispielsweise die der Verschlusszeit. Wir wollen trotzdem kurz etwas genauer auf dieses Mass eingehen. Die Blendenzahl kannst du folgendermassen berechnen („f“ steht für die Brennweite):

Je grösser die Blendenzahl, desto kleiner ist also die Objektivöffnung, was etwas verwirrend sein kann. Stellt man die Gleichung aber um, wird klar, warum sich das so verhält. Wir erhalten:

Wie du siehst, berechnet sich der Durchmesser der Öffnung aus der Division von Brennweite und Blendenzahl. Je grösser also die Blendenzahl wird, desto kleiner muss der Durchmesser sein. Den Durchmesser der Objektivöffnung bezeichnet man auch als Apertur. Häufig wird die „Apertur“ zum Beispiel so angegeben: A = f/2.8. Eine solche Angabe hast du bestimmt schon einmal gesehen. 2.8 ist hier die Blendenzahl, die Brennweite wird nicht ausgeschrieben.
Blendenzahlen berechnen
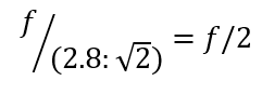
Schlussendlich interessiert uns aber eigentlich ja nur, wie wir die Fläche dieser Aperture nun verdoppeln oder halbieren können. Dann wissen wir, wie sich die Belichtung hier um einen oder mehr Stops verändern lässt. Wie bereits erwähnt, müssen wir in den Kameraeinstellungen die Blendenzahl verändern, um die Blendenöffnung Stufenweise anzupassen. Wir wollen also wissen, mit welchem Faktor wir die Blendenzahl multiplizieren oder dividieren müssen, damit sich die Apertur halbiert, bzw. verdoppelt. Es ergeben sich hier leider keine schönen, geraden Zahlen mehr. Die «magische Zahl» ist die Wurzel von zwei. Um die Apertur zu verdoppeln rechnest du also:

Lass uns nochmals kurz das Beispiel von vorhin anschauen. Die Apertur ist dort f/2.8. Jetzt wollen wir die Belichtung um einen Stop erhöhen, respektive die Apertur verdoppeln. Dazu teilen wir jetzt also die Blendenzahl durch die Wurzel von 2. Wir erhalten:

Eine ausführliche Blendenskala findest du im Bild unten.

Bestimmt hast du bereits genug gerechnet, aber falls du nachprüfen möchtest, ob das mit dem magischen Faktor denn auch wirklich stimmt, kannst du das ganze mit einem Beispiel durchrechnen. Nimm an, dass die Brennweite 50mm ist. Nun benötigst du noch die Formel für die Kreisfläche:

Jetzt rechnest du einmal die Fläche für f/2.8 aus und vergleichst diese dann mit der Fläche, welche du für f/2 erhältst. Wenn du alles richtig gemacht hast, sollte sich die Fläche ziemlich genau verdoppeln.
ISO
Zum Schluss wollen wir uns noch mit ISO beschäftigen, dem dritten Wert im Belichtungsdreieck. Einfach gesagt, beeinflusst der ISO-Wert die Lichtempfindlichkeit deines Bildsensors (die vollständige Erklärung ist um einiges komplexer). Je höher der ISO-Wert desto Lichtempfindlicher wird der Bildsensor. Bei höheren Werten muss also weniger Licht auf den Sensor fallen und du kannst dennoch noch ein korrekt belichtetes Bild erhalten. Genau umgekehrt verhält es sich natürlich für tiefe ISO-Werte. Tendenziell können modernere Kameras mit einem breiteren Spektrum von ISO-Werten arbeiten.
Wie schon die Verschlusszeit ist auch diese Grösse relativ leicht zu verstehen: Halbierst du den ISO-Wert, führt das zu einer Reduktion der Belichtung um eine Belichtungsstufe. Dasselbe gilt für eine Verdoppelung.

Die Eimer-Analogie – Belichtungsdreieck einfach erklärt
Für jedes Foto lässt sich die korrekte Belichtung mathematisch berechnen. Es gibt jedoch hunderte verschiedener Kombinationen aus ISO, Blendenzahl und Verschlusszeit, die alle zum selben Ergebnis führen. Welche Kombination du wählst, hängt von deiner «künstlerischen Vision» für das Foto ab. Tolle Effekte lassen sich zum Beispiel mit Tiefenunschärfe oder mit Bewegungsunschärfe erzielen. Sie hängen von der Blende, respektive von der gewählten Verschlusszeit ab. Andererseits führen zu hohe ISO-Werte häufig zu negativen Effekten in deinen Fotos, wie zum Beispiel Bildrauschen. In den verlinkten Artikeln erfährst du mehr darüber, wie du mit den verschiedenen Einstellungen herumspielen kannst, um spannende Resultate zu erzielen.
Nun aber zurück zur Belichtung: Wenn du eine der Grössen veränderst, musst du dies mit einem der anderen Werte (oder mit einer Kombination von beiden), wieder kompensieren. Verkleinerst du beispielsweise die Verschlusszeit um zwei Stops, musst du die Blende um zwei Stops vergrössern. Alternativ kannst du natürlich auch die Blende und den ISO-Wert um je einen Stop nach oben verschieben.
Regen statt Licht
Das Ganze können wir auch mit einer ziemlich einfachen Analogie umschreiben: Wir wollen nun nicht mehr Licht einfangen, sondern Regen. Genauer gesagt, wollen wir einen Eimer mit Regenwasser füllen. Gerne würden wir genau einen Liter Wasser einfangen. Dieser Liter entspricht in unserer Analogie der korrekten Belichtung.
Der ISO-Wert entspricht der Grösse der Eimeröffnung. Ist die Öffnung gross, füllt sich der Eimer schnell. Bei einer kleinen Öffnung füllt er sich nur langsam.
Die Stärke des Regenfalls repräsentiert die Grösse der Blende. Wenn es stark regnet, gelangt viel Wasser auf einmal in den Eimer. Nieselt es nur ein bisschen, dann fällt in derselben Zeit nur wenig Wasser in den Eimer.
Vielleicht hast du es schon erraten: Die Verschlusszeit entspricht der Dauer, während welcher wir den Eimer raus in den Regen stellen. Natürlich sammelt er mehr Wasser, wenn wir ihn dort lange stehen lassen.
Nun gibt es ganz viele verschiedene Szenarien, in welchen der Eimer genau einen Liter Wasser auffangen wird. Um es etwas zu vereinfachen, schauen wir uns nur einen Einflussfaktor aufs Mal an.

Eimergrösse – ISO
Beispielsweise können wir unsere Eimergrösse fixieren und zwei Eimer mit derselben Grösse vergleichen. Einen davon stellen wir während einem Sommergewitter für ganz kurze Zeit raus. Den anderen lassen wir den ganzen Tag draussen stehen, dafür tun wir das an einem Herbsttag wo es draussen nur leicht nieselt. Die beiden Eimer werden ähnlich viel Wasser sammeln. Wenn du den einen Eimer aber zum Beispiel nur ganz kurz in den Nieselregen gestellt hättest, würde dieser zu wenig Wasser sammeln. Damit wäre der Eimer also «unterbelichtet».
Regenstärke – Blende
Nehmen wir an, es regnet den ganzen Tag über immer konstant durch. Wenn wir jetzt einen Eimer mit sehr grosser Öffnung haben, müssen wir ihn nur kurz nach draussen stellen, um einen Liter zu sammeln. Stellen wir einen Eimer mit kleiner Öffnung daneben, dauert es viel länger, bis sich darin ein Liter Wasser gesammelt hat.
Zeit im Regen – Verschlusszeit
Zum Schluss wollen wir noch die Zeit fixieren, während welcher wir die Eimer nach draussen stellen. Um einen Liter zu sammeln könnten wir zum Beispiel einen Eimer mit sehr grosser Öffnung in den Nieselregen stellen oder einen Eimer mit einer ganz kleinen Öffnung in ein starkes Gewitter. Schlussendlich können wir in einer vorgegebenen Zeit, mit beiden Eimern einen Liter Wasser einfangen.
Hoffentlich konnte dir diese Analogie weiterhelfen. Wie du siehst, gibt es ganz viele Kombinationen aus ISO, Blende und Verschlusszeit welche alle zur gleichen Belichtung führen. Ob eine Kombination besser ist als eine Andere, lässt sich nicht sagen. Das hängt ganz davon ab, welche Effekte du in deinem Bild zeigen willst, und wie das Foto am Schluss aussehen soll. Das Belichtungsdreieck gibt dir lediglich vor, dass du eine Veränderung in einer der drei Einstellungen, in mindestens einer weiteren, wieder kompensieren musst.
Fazit
Zum Schluss noch eine kurze Zusammenfassung: Verstellst du eine Einstellung um einen Stop, verdoppelst oder halbierst du die Menge an Licht, welche auf den Bildsensor gelangt. Stops können wir über die drei Grössen ISO, Blende und Verschlusszeit verstellen.
Falls du von nun an also einmal ein überbelichtetes Foto schiesst, weisst jetzt bestimmt, was dann zu tun ist. Mit dem Belichtungsdreieck lassen sich die richtigen Einstellungen ganz leicht finden!
Hat dir unsere Erklärung und die Analogie mit dem Eimer geholfen? Wir freuen uns über dein Feedback oder Fragen im Kommentar!

1 Gedanken und Fragen